Réussir le sorgho, c’est d’abord assurer de bonnes conditions d’implantation
Pour avoir de bonnes conditions, il est recommandé de semer dès que possible.
Le sorgho a des besoins en températures plus élevés que d’autres cultures d’été. Mais c’est souvent la dernière semée sur l’exploitation, parfois aux dépens des conditions de semis.
Généralement, on considère que les semis peuvent démarrer dès mi-avril dans les secteurs méridionaux (Sud-Ouest, Rhône-Alpes, figure 1) et dès le 1er mai pour les zones septentrionales. La température seuil du sol, indicative, est 12°C. Cette campagne, les températures élevées en ce début de printemps permettent d’envisager un semis précoce. La limite est souvent la priorité donnée aux autres cultures de l’exploitation.
Un semis tardif augmente les risques de stress hydrique précoce, comme dans certaines situations rencontrées en 2025. Si le sorgho est généralement considéré comme une plante résiliente au stress hydrique, il y reste sensible notamment pendant la montaison, et présente des difficultés à épier en cas de stress intense. Semer dès que possible et éviter les semis tardifs peut permettre d’esquiver ce type de stress afin de permettre au sorgho un développement satisfaisant et une épiaison dans de bonnes conditions.
Semer tôt, avec une variété de précocité adapté, c’est aussi assurer une récolte dans de bonnes conditions sanitaires, et avec des teneurs en eau du grain faibles (voire une récolte aux normes), suffisamment tôt pour envisager le semis de la culture suivante dans les meilleures conditions.
Choisir une précocité variétale adaptée au climat de la région et à la date de semis envisagée
Tableau 1 : Besoins en sommes de température en fonction du groupe d’évaluation CTPS et de la précocité pour deux objectifs d’humidité à la récolte (20 et 25 %)
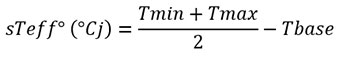
Qu’est-ce que la somme de températures efficaces ?
La somme de températures efficaces représente la quantité de chaleur dont une plante a besoin pour se développer. Elle se calcule de la façon suivante :

La température de base (Tbase) est la température minimale en dessous de laquelle le développement biologique d’une plante s’arrête (considérée à 8°C pour le sorgho) ; jusqu’à un seuil maximal de 34°C dans le cas du sorgho, au-delà de laquelle la plante ralentit son développement.
La variété choisie doit avoir une précocité qui correspond à l’offre climatique de sa région, en tenant compte des dates de semis et de récolte visées.
Dans les tableaux 2 à 5, les offres climatiques (sommes de températures atteignables huit années sur dix) sont calculées pour plusieurs stations météo.
Tableaux 2 à 5 : Sommes de températures atteignables 8 années sur 10 en fonction de la date de semis et de la date de récolte
Assurer le démarrage de la culture : un sol frais, c’est important !
Le sorgho est une petite graine qui, pour germer dans de bonnes conditions, a besoin d’un sol ayant conservé suffisamment d’humidité. Le sorgho nécessite un lit de semences soigné, pas trop motteux pour assurer un contact sol-graine satisfaisant. Un sol suffisamment réchauffé et des conditions poussantes assurent une levée régulière mais ce n’est pas le facteur le plus déterminant. En revanche, un sol trop sec peut amener des pertes à la levée très élevées mettant en péril la réussite de la culture. Attention de semer dans un sol suffisamment frais, quitte à intervenir un peu plus profond (4-5 cm) ou juste avant la pluie (attention cependant en sol battant !).
Préparation du sol
- Préférer un travail profond (labour ou outil à dents) pour assurer un bon enracinement. Le travail superficiel est possible en sols bien structurés en profondeur.
- Le lit de semences ne doit pas être trop motteux pour favoriser le contact du sol avec la graine (semence de petite taille) et obtenir une profondeur de semis régulière. Attention toutefois de ne pas favoriser une préparation trop fine en sols limoneux sensibles à la battance ; le sorgho y est sensible.
- Il est très important que le sol soit suffisamment frais (ou qu’une pluie soit annoncée), cibler entre 2 et 4 cm de profondeur. Les semis de 4-5 cm ne sont pas conseillés mais peuvent permettre d’aller chercher le frais en sol motteux ou en conditions sèches.
Figure 2 : Semis
Densité de semis et écartement
Semoir et écartement
L’utilisation d’un semoir monograine est à privilégier. Il assure une maîtrise de la densité de semis, une régularité de profondeur et de répartition des semences sur la ligne et permet la réalisation de binages. Le semis avec un semoir céréales est possible mais avec le risque d’une moindre qualité de semis (régularité de répartition et de profondeur). Il est d’autant moins adapté pour les variétés ½ précoces à tardives dont les densités de peuplement recommandées sont plus réduites.
Les écartements pratiqués pour le sorgho varient de 30 à 80 cm selon les équipements disponibles sur l’exploitation. Il est cependant recommandé de resserrer les inters rangs, en particulier pour les fortes densités. Privilégier si possible des écartements ne dépassant pas 60 cm qui permettent une meilleure répartition spatiale des plantes.
Favoriser une bonne installation de la culture en choisissant une variété avec une bonne vigueur de départ et en accompagnant la culture avec une fertilisation de type « Starter » en localisé.
Densité de semis
Le nombre de graines à semer dépend de plusieurs facteurs :
- La précocité de la variété.
Plus une variété est précoce, plus faible est l’indice foliaire et le nombre de grains sur sa panicule. De ce fait, les variétés les plus précoces nécessitent des densités de peuplement plus élevées que des variétés plus tardives. - La réserve hydrique qui dépend à la fois du type de sol et de la conduite d’irrigation.
En conditions séchantes, les peuplements trop élevés favorisent une forte production de biomasse et accentuent les phénomènes de concurrence précoce entre plantes et accélèrent l'épuisement de la réserve en eau. En cas de stress hydrique précoce, les difficultés d’épiaison sont accentuées. En situation irriguée ou dans les milieux à forte réserve en eau, les densités de peuplements plus élevés sont valorisées et permettent de maximiser le rendement. - Les pertes à la levée
Dans tous les cas, il faut tenir compte d’un taux de perte à la levée de 20 %.
Les tableaux 6 et 7 résument les objectifs de densité de semis à respecter selon les conditions hydriques, les types de sol rencontrés et le choix de la variété semée.
Réagissez !
Merci de vous connecter pour commenter cet article.