Articles et actus techniques
Nord Aquitaine

Excès d’eau en céréales : les premiers impacts observés

Certaines parcelles de céréales avaient été engorgées d’eau temporairement suite aux précipitations ininterrompues. Un phénomène à nouveau observé dans certains secteurs en raison des crues exceptionnelles (La Vézère, la Dordogne, la Garonne, le Caudeau, la Dronne et l’Isle) de ces derniers jours, causées par la tempête.

Inondation d’une parcelle de blé tendre début février 2026 à Bergerac, Aquitaine

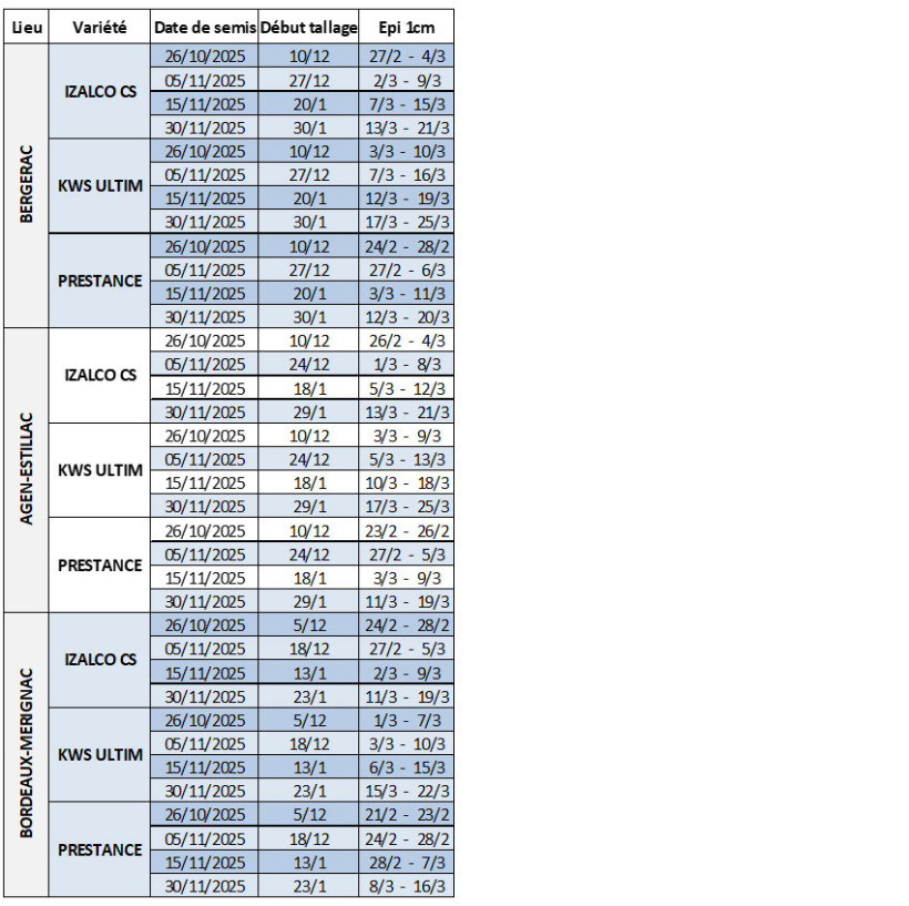
Cette année, les prévisions de stade estimées par nos modèles semblent être de nouveau en décalage avec ce qu’on peut observer dans les parcelles. On estime environ une dizaine de jours d’avance en comparaison aux tableaux de prévisions (tableaux 1 et 2).

Tableau 1 : Dates prévisionnelles des stades début tallage et épi 1 cm en blé tendre selon la date de semis, la variété et la station

Tableau 1 : Dates prévisionnelles des stades début tallage et épi 1 cm en blé tendre selon la date de semis, la variété et la station

Tableau 2 : Dates prévisionnelles des stades début tallage et épi 1 cm en orge d’hiver selon la date de semis, la variété et la station

Tableau 2 : Dates prévisionnelles des stades début tallage et épi 1 cm en orge d’hiver selon la date de semis, la variété et la station

L’hydromorphie s’intensifie sur les dernières semaines

La pluviométrie depuis début octobre et en particulier en novembre, janvier et février, a saturé les sols rapidement et des phénomènes d’hydromorphie sont visibles depuis plusieurs semaines. Les pluies intenses de ces derniers jours intensifient d’autant plus ce phénomène et placent certaines parcelles dans des situations d’engorgement important, voire de submersion prolongée (photos). 

De gauche à droite : Bergerac (24) ; Engorgement d’une parcelle ; Tonneins (47)
De gauche à droite : Bergerac (24) ; engorgement d’une parcelle ; Tonneins (47)

Les conséquences commencent à s’observer dans certaines zones avec des pieds atrophiés, voire des disparitions de plantes à l’extrême et posent globalement question sur la conduite à tenir, notamment la fertilisation azotée. 

Aujourd’hui, alors que des épisodes de pluie sont encore annoncés dans les prochains jours, les cumuls de pluie depuis début novembre approchent ou dépassent les niveaux maximum jamais atteints sur les stations depuis 20 ans (tableau 3).

Tableau 3 : Pluviométries suivant les différentes stations, depuis le 1er novembre

Tableau 3 : Pluviométries suivant les différentes stations, depuis le 1er novembre

L’excès d’eau présent dans le sol induit une carence en oxygène (asphyxie) au niveau des racines, avec de nombreuses conséquences sur la croissance de la plante (mauvais fonctionnement des cellules, pas d’assimilation des éléments minéraux, mauvais ancrage). Le triticale est le plus tolérant à l’excès d’eau, puis le blé tendre, le blé dur et l’orge. 

L'ennoiement total de la culture conduit à des pertes de plantes au-delà de deux jours d’exposition. L’engorgement en eau, s’il reste limité, provoque des risques moins importants. Les plantes peuvent tenir plus longtemps, avec des risques de retard de stades, et de pertes de talles. Dégâts pas forcément irrémédiables, mais à suivre pour ajuster l'itinéraire technique en conséquence : potentiel de rendement, dose d’azote et fractionnement, contrôle des adventices dans un couvert fortement éclairci, etc. 

Réagissez !

Merci de vous connecter pour commenter cet article.

Se connecter
Ou connectez-vous avec
Pas encore inscrit ?
Créer un compte
Mot de passe oublié

Un email vous sera envoyé pour réinitialiser votre mot de passe.