Articles et actus techniques
Ouest Occitanie

Céréales : les premières parcelles sont déjà à début épiaison

La douceur actuelle a favorisé une avancée rapide des stades. Où en sont les céréales aujourd’hui ?

Blé tendre au stade dernière feuille étalée mi-avril 2026 en Occitanie

Les blés tendres semés en octobre sont déjà à gonflement, et la majorité des parcelles sont entre dernière feuille étalée et gonflement.

Premiers semis (période du 15 au 27 octobre) 

  • En orge d’hiver, les stades sont entre dernière feuille étalée (DFE) et début épiaison pour les parcelles les plus avancées.
  • En blé tendre, les stades sont entre dernière feuille dégagé et début épiaison. 
  • En blé dur, les stades sont légèrement moins en avance et sont compris entre dernière feuille dégagée et gonflement pour les premiers semis. 

Deuxième période de semis (après le 27 octobre)

  • En orge d’hiver, les stades sont entre dernière feuille pointante et dernière feuille dégagée. Les orges de printemps semées à l’automne sont au stade sortie des barbes. 
  • La majorité des blés tendres semés début novembre sont entre 3 nœuds et DFE. 

La majorité des blés durs sont entre 3 nœuds et DFE (75 % des parcelles).

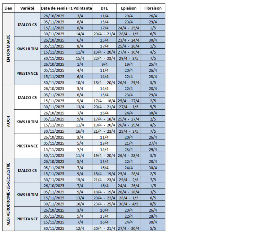
Tableau 1 : Dates prévisionnelles des stades F1 pointante à floraison en blé tendre selon la date de semis, la variété et la station

Tableau 1 : Dates prévisionnelles des stades F1 pointante à floraison en blé tendre selon la date de semis, la variété et la station

Tableau 2 : Dates prévisionnelles des stades F1 pointante à floraison en blé dur selon la date de semis, la variété et la station

Tableau 2 : Dates prévisionnelles des stades F1 pointante à floraison en blé dur selon la date de semis, la variété et la station

Tableau 3 : Dates prévisionnelles des stades DFE à floraison en orge d’hiver selon la date de semis, la variété et la station

Tableau 3 : Dates prévisionnelles des stades DFE à floraison en orge d’hiver selon la date de semis, la variété et la station

C’est le moment de penser au dernier apport d’azote

L’apport fin montaison, ou apport qualité, est à positionner idéalement entre DFE et gonflement, avec de préférence une période de pluie juste après pour le valoriser. Cet apport permet de sécuriser la teneur finale en protéines. Il est particulièrement important sur les blés de force et les blés durs. Eviter à ce stade les formes liquides, et préférer une forme solide qui est plus efficace à ces stades pour maximiser le rendement et la teneur en protéines (ammonitrate de préférence ou urée en granulés avec NBPT. L’urée sans inhibiteur d’uréase reste légèrement en retrait sur la teneur en protéines).

La dose de cet apport est à ajuster en fonction du potentiel atteignable au moment de l’apport et de la variété. Il doit être idéalement positionner avant une pluie annoncée, mais dans tous les cas doit être fait pour garantir l’atteinte de la qualité voulue pour la valorisation commerciale. 

Réagissez !

Merci de vous connecter pour commenter cet article.

Se connecter
Ou connectez-vous avec
Pas encore inscrit ?
Créer un compte
Mot de passe oublié

Un email vous sera envoyé pour réinitialiser votre mot de passe.